Головна Популярне Увійти Зареєструватися Про проект Ми у Facebook

Розклад аналітичної функції в ряд Лорана і Тейлора. Ч.2

Опубліковано: 7 листоп. 2021 р.
Підписатися
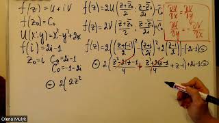
Приклади для х=0 і х=і.
розгорнути опис
згорнути опис

Можливо зацікавить